Welcome to the official website of All India Postal Employees Union Group 'C'- अखिल भारतीय डाक कर्मचारी संघ वर्ग 'सी' की आधिकारिक वेबसाइट में आपका स्वागत है
Loading...
.

Saturday, January 29, 2011

LIVING ON THE TOP FLOOR? GET YOURSELF AN INBOX

BANGALORE: The postman, an integral part of urban life, is having to keep pace with Bangalore's vertical growth. Their daily grind has changed from miles to go, to climbing up and down apartment blocks to deliver the day's cargo. While a few may term it an occupational hazard, the postman's humble requests for mailboxes on the ground floor have gone unheard.

Anticipating such a situation in 1989, the postal department had issued a circular saying an appeal be made to residents of multi-storeyed buildings to install letter boxes for each flat on the ground floor. Thousands of high-rises have come up in the city, but not all have lifts, and aged postmen are forced to sweat it out, sometimes to deliver a single envelope.

A copy of the circular is in possession of The Times of India. However, a senior postal official said a similar order was issued in 2001 again but nothing has changed. "It's only optional and the department has a mandate of door delivery. Speed post and money orders have to be door-delivered, only ordinary post can be dropped off in mailboxes."

A senior postman explained how difficult work can be at times. "In apartments with security personnel, we don't need to enter, and leave all envelopes with them. But in some apartments, there is no security. We end up climbing stairs and it's risky because we carry money orders and cheques. If we are attacked, there is no safety. Some of us have gone through bitter experiences," he said.

Even if lifts are available, postmen prefer taking the stairs. They reason: "Lifts can be scary as you never know when we might get stuck. What if the person standing next to us snatches the envelopes and runs away?"

"The public demands door delivery. People have no time to collect their own mail. People should set up mailboxes on the ground floor at least," says S S Manjunath, state secretary for Group C Employees Union.

AGE FACTOR

R Seethalakshmi, state secretary for Union of Postmen and Group D Employees, says at least 30% postmen are aged over 50, and 50% are in the 40-50 age group. "Besides, we are managing with just 55% staff. Recruitment is on," she added.

Postmen also complain that people do not come forward to receive posts which contain notices from banks and courts. "If they anticipate such notices, residents do not even open the door. Every day, each postman deals with five or six such notices. We intimate the neighbours, but not many collect their mail from us. When the final notice arrives from the bank or court, the postal service is blamed," Seethalakshmi said.

Times of India, Jan 25, 2011.

INDIA POST EYES GLOBAL SMES, RICH CUSTOMERS

SILIGURI: India Post is coming up with a bunch of new services aimed mainly towards high value and premium customers and small and medium enterprises (SMEs) having international links.

MoUs on this front have been signed with relevant authorities in postal services from different countries including China, Australia, Bhutan, Germany, UAE, Hong Kong, Italy, France and South Africa, to provide highly-customized business services especially to SMEs.

The most important amongst these are international express mail services (EMS) for express documents and parcels up to 35 kg. This comes just after India Post's recently introduced flat rate parcel services (FRPS) for any country. Parcels under the service will be given priority in shipment when being sent to any country with which the India Post has signed an MoU.

According to John Samuel, business development manager, India Post, three self sealing containers of different sizes, to be used for FRPS and available free of cost at select post offices, can carry 1 kg, 2.5 kg and 5 kg parcels. These can be shipped to any country at a flat rate of Rs 1,000, Rs 1,500 and Rs 2,500, respectively.

"Plans to introduce this in the domestic sector, too, at a reasonable rate, are at an advanced stage. Both in the international as well as domestic sectors, all these parcels will carry unique bar codes and shipped through air route only," he said.

Samuel said that all India Post special customised business packages, especially those aimed towards SMEs, are going to have facilities like solutions for business shipment, dedicated small packet shipments corridor at most economic rates, assured, priority customs clearance and online tracking.

Additionally, India Post is going to design specific service products to help enterprises in overseas marketing.

Times of India 26 Jan, 2011.

India Post Finds New Life as an Insurance Provider

AS TRADITIONAL SERVICES GO DIGITAL, INDIAPOST FINDS NEW LIFE AS AN INSURANCE PROVIDER

Three decades ago, Tilak Ram was a mere part-time employee at India Post. Technically a Gramin Dak Sevak -- an "extra departmental employee" -- he has come a long way since. Today, Ram's spartan office-cum-home in rural Laksar, in the northern state of Uttaranchal, is constantly bustling with people. The 53 year-old Ram is a postal worker outside the regular cadre; there are thousands of them across India. Over the years, he has become the single-point contact for over 6,000 rural households across 12 villages around Laksar to sell mobile phone cards and postal stationery, update post office savings bank accounts, deliver pension money, and collect postal life insurance premiums.

Ram has now logged an impressive track record in India Post's fastest growing business -- rural postal life insurance (RPLI). In the last fiscal year, Ram, who earns a monthly salary of US$135 plus commission, sold 250 RPLI policies with a total sum assured of US$28,000. This bull run for Ram and 300,000 other GDSs who reach out to 730 million people across 600,000 villages, has established India Post as one of the largest players in the rural life insurance business.

Today, RPLI has a corpus of US$890 million. India Post has sold 10 million RPLI policies between their 1995 launch and 2009-2010. But most of those sales occurred after November 2009, and 40% of them are micro insurance policies where the individual sum assured is less than US$550.

"We adopted an innovative approach to leverage our distribution reach in the pursuit of socially relevant objectives," says Uday Balakrishnan, who recently retired as member of the Postal Services Board and chairman of the Investment Board of India Post.

The RPLI numbers, say insurance analysts, makes India Post the largest micro insurance player in the US$13 billion Indian life insurance game. The quasi-government behemoth -- Life Insurance Corporation (LIC) -- sold 1.9 million micro insurance products last year with a 2.5 million target for fiscal 2011, according to Hemant Bhargava, executive director micro insurance at LIC. "There is a growing awareness amongst different pockets of the economy that you have to carry all sections of the population together, which makes micro insurance critical," he says.

In fact, financial inclusion was one of the drivers for India Post to reinvent itself as an insurer to be reckoned with. "Earlier, people couldn't do without us," says Abhishek Singh, senior superintendent of Post Offices in Dehradun in north India. "Now there's competition and we have to reinvent ourselves to be socially relevant." Many of India Post's mainline businesses like personal mail and telegrams have been battered -- volumes are down by 40% over the last decade -- by the technological advances of the Internet era.

Today, India Post's most popular product continues to be the postal savings bank, which holds the savings of over 200 million small investors and is growing. A recently released report by the Associated Chambers of Commerce and Industry and PricewaterhouseCoopers projects household savings to reach US$5 trillion by 2020, up from US$330 billion currently. "The government wanted to harness these funds, which are still growing, and insurance became the ideal vehicle," notes Rashesh Shah, chairman of investment bank Edelweiss Capital, and an advisor to India Post.

Insurance was always part of India Post's portfolio: The service began with Postal Life Insurance (PLI) in 1884, aimed at government and semi-government employees. More than a century and a quarter later, PLI had covered only 10% of the eligible applicants in the category. When the RPLI was launched in 1995, it targeted women in the hinterland, with the maximum sum assured at US$6,520. But in the 15 years since its launch, the postal department sold a mere 10 million RPLI policies, despite rural India being home to two-thirds of the country's population of 1.2 billion.

The potential to address a larger audience also became clear in the low penetration of insurance in India's smaller towns and villages, particularly among the poor. "There is a growing recognition amongst insurance providers of the need for insurance to this population," says Shamika Ravi, assistant professor of economics at the Hyderabad-based Indian School of Business. A 2009 NCAER-Max New York Life survey shows that only 19% of rural households have life insurance coverage, compared to 38% of those in urban areas.

As for India Post, the agency never emphasized insurance as a major line of business and was content to promote its other products, including Speed Post (a courier service) and postal savings. It also became a distribution conduit for third party vendors. But mounting competition forced the organization to bring the insurance portfolio off the back burner, and leverage its longstanding relationship with people in the hinterland. "The postal department has a lot of goodwill and trust with rural people, which works well for insurance," notes S.C. Dash, professor of rural insurance at the National Insurance Academy, the country's apex training institute in Pune in the western Indian state of Maharashtra.

The larger idea, according to India Post's Balakrishnan, was to "help poor cohorts to organize their savings and engage them in the financial markets, to become part of the economic growth story." A majority of the cohorts were already familiar with India Post and had been using its services for years. India Post zeroed in on this captive audience for insurance. "Selling insurance to the poor was one way of locking in customers who were associated with the postal department through the savings bank," according to Edelweiss' Shah.

The trigger was largely a new government initiative to promote financial inclusion, competition from the Internet and other sources and the realization that India Post had an enviable, but underutilized, distribution channel. India Post has one of the best distribution networks in the country: There are 500,000 employees in 155,670 outlets, of which 89% operate in rural destinations, including remote and hilly terrain. They touch base with each of the 600,000 villages in India on a daily basis.

Battling the Private Sector

While the public sector India Post initially underestimated the potential of this distribution muscle, private players willingly piggybacked on the channel to sell mutual funds, gold coins and even consumer products because it made sense to tie up with an entity offering a cost-effective reach into the deep interiors.

Or consider the American remittance heavyweight Western Union, which tied up with the postal department for a pan-India presence a decade ago and saw its business soar. "There is a synergistic relationship," says Kiran Shetty, Western Union's regional vice-president, about the company's association with India Post."We have a strong global bond and India Post denotes trust, offering an emotional connect to consumers."

Western Union doesn't reveal the amount of money that passes through the postal channel daily, but Shetty states that India Post continues to be one of its largest partners. Out of the 63,000 locations, including retail and banks thatWestern Union transacts from, 7,000 locations are under the purview of India Post.

In the past few years, private insurers too connected with India Post to reach out to rural customers. For years, millions of rural poor shunned insurance as a product they did not need or could not afford. But it's the insurance companies that cannot afford to ignore them now. The Insurance Regulatory and Development Authority (IRDA) guidelines stipulate that rural India should account for 7% of the policies private insurers write in the first year of operation, and 20% in the tenth year. As a result, most of the country's 23 life insurers and 21 general insurance companies have been seeking to expand coverage in rural India.

But maneuvering the rural maze is a different ballgame altogether. "Personal connections and trust built over the years play a key role in customer interaction. Local people are important to sell micro insurance and collect premiums from the poor," says Iddo Dror, director of operations at the New Delhi-based Micro Insurance Academy. India Post's Gramin Dak Sevaks hail from the same rural milieu as their customers, ensuring market proximity. As India Post is a household name in the hinterland, it became the ideal conduit for the last-mile connectivity for private insurance companies. Players like ICICI Prudential and Dabur Aviva entered into referral agreement partnerships with India Post in various states to distribute and service their insurance offerings.

The honeymoon with private players, though, hasn't been a pleasant experience for the postal department. Managers at India Post complained that selling competitors' insurance products has proved counterproductive. "We were being undermined by private players who were using our extensive reach, and subverting our product, by offering hidden incentives to our counter staff," notes Balakrishnan. After a brief romance, India Post severed ties with private insurers last year.

More recently, the IRDA has said that private insurers could use the India Post network to distribute their products. The postal department, however, is yet to make the call on whether to align with competitors. One constraint is the agency's inability to match the gifts and cash incentives that the deep-pocketed private players tend to offer to its front office people in order to "motivate them" to sell that company's products.

Challenge and Opportunity

To beat competition, India Post is now milking its contact with the masses for all it's worth. The agency is reaching out to over 50 million participants in the National Rural Employment Guarantee effort (NREG) -- New Delhi's largest and most ambitious poverty alleviation program to increase the purchasing power of rural Indians. India Post is one of the main channels to distribute money to NREG recipients.

As the government intervention is putting money into otherwise unemployed hands, the recipients have emerged as an ideal target for RPLI coverage. "This segment, along with our relationships with large numbers of rural savings bank holders, gives us a certain customer intimacy that others would be hard-pressed to match," says Balakrishnan.

To reach out to this audience, India Post managers say they had to "examine and evaluate every process in the life insurance cycle to cut down waste." To capture the loose change spent on tobacco products in rural India, for example, the daily premium was pegged at an affordable 2 cents for micro insurance and 13 cents for larger policies. The mandatory medical examination was also waived, making it easy for the poor to warm up to insurance.

The product was backed by a compelling selling proposition -- one offering long-term financial stability to families that would provide for their children's education. "There is an aspiration out there that the next generation must do better, and people are willing to sacrifice today's consumption for children's education tomorrow," according to Rajeev Srinivasan, professor of corporate strategy and policy area at the Indian Institute of Management, Bangalore.

A big issue was the lack of awareness of insurance products amongst India Post's half-million employees operating in rural areas. Today, senior officers conduct rigorous training sessions for the Gramin Dak Sevaks and other staff to motivate and educate them on the product portfolio and the business opportunities. "We are gaining momentum now, and need to constantly train our people," says Sanjay Singh, director of postal services in Uttaranchal.

The pilot project of the revitalized RPLI was held in September 2009 at Etikoppaka, a small village with verdant sugarcane plantations in the southern state of Andhra Pradesh. RPLI's "education for children" proposition clicked with people, and almost all the 2,500 village adults in Etikoppaka bought micro insurance. "More than a risk cover, I looked at RPLI insurance as part of a savings strategy," says T. Gowriamma, who sells wooden toys in the village, and dreams of putting her young daughter and son through high school and college.

Buoyed by the experience, there are plans to position insurance, which brings in 5% of India Post's revenue today, as the main revenue earner in the next couple of years, according to Shekhar Kumar Sinha, chief general manager in charge of postal life insurance. The RPLI target for 2012 is to sell a minimum of 35 million policies. To meet the goals, India Post revised the incentive structure for its staff. Earlier, every US$2,170 sum assured policy sold fetched them a US$5.50 commission. Since last year, they earn a flat 10% commission on every premium paid. "Now everyone wants to sell more policies," adds Sinha.

India Post may have reinvented itself to face the big boys in the insurance sector, but there are challenges ahead. Already, the work load is putting pressure on the organization's antiquated infrastructure. "Service quality on a mass scale is a terrific ... challenge," notes Balakrishnan. Unlike private players who have dedicated staff for insurance, all the India Post employees have been multitasking, doing mails, money orders, savings bank transactions and insurance. Says IIM professor Srinivasan: "The private players are more customer focused. The post office has a track record on trust, but it's onerous. People will have to be more customer-centric."

A lack of product portfolio is another issue. Once rural customers enter the system, they yearn for more sophisticated financial products like crop and medical insurance, according to Dash of the National Insurance Academy. At the moment, India Post offers only life insurance while private players are offering a bouquet of services.

RPLI's rapid growth has left India Post over extended, says Shekhar Sinha. As a result, India Post has scaled down the 2012 target for RPLI from an initial 100 million policies to 35 million policies. The growth has also magnified many shortcomings, like the lack of marketing skills of the post personnel compared to aggressive competitors. "Is the current activity sustainable in the long term? How much of this passion permeates to the bottom of the pile?" asks Srinivasan.

There are plans to spin off the insurance business as a separate entity. This could be a challenge or an opportunity, whichever way India Post looks at it.

As Published on January 27, 2011 in India Knowledge@Wharton

Extension of Risk Allowance till 30.06.2011

No.21012/01/2008-Estt. (Allowance)
Government of India
Ministry of Personnel, P.G. & Pensions
Department of Personnel & Training

New Delhi, dt.25th January, 2011.

OFFICE MEMORANDUM

Subject: - Extension of Risk Allowance till 30.06.2011.

The undersigned is directed to refer this Department's OM No.21012/01/2008-Estt.(AL) dated 13.10.2010 vide which payment of Risk Allowance was extended till 31.12.2010. Extension of Risk Allowance for a further period of six months beyond 31.12.2010 has been considered and it has been decided that Risk Allowance may be continued for a further period of six months up to 30.06.201 1 or till such time Risk Insurance Scheme is implemented, whichever is earlier. All the Ministries / Departments are requested to ensure implementation of Risk Insurance Scheme before 30.06.2011. No further extension will considered thereafter.


Sd/-
( Zoya C.B.)
Under Secretary to the Govt. of India

INDIA POST INVITES SUGGESTIONS FROM THE MEMBERS OF PUBLIC

Department of Posts (DOP) a more than 150 years old organization, provides services through its network of 1,50,000 offices, a majority of them being in rural areas. India Post connects all of India with mail, banking and insurance services. It is also the last mile provider of Government schemes such as payment of old age pension and Mahatma Gandhi National Rural Employment Guarantee Scheme.

2. Urbanization, increased demand for financial services, increased funding by the government for the weaker sections in the rural sector have opened up new opportunities for the Department of Posts which has necessitated development of new processes and supporting technology. The DOP is also faced with the challenge of keeping pace with the advances in communication technology. In order to provide the best-in-class customer service, deliver new services and improve operational efficiencies, the DOP is undertaking an end to end IT modernization project to equip itself with the requisite modern tools an technologies. Some of the salient features that are expected to be in place in the next two years are:-

- All the post offices to be fully networked and ICT enabled.

- Centralized Banking Services for Urban and unbanked rural

population.

- End to end tracking of accountable articles.

- 24 x 7 call centres.

- Multiple channel of access to customers e.g., post office counters,

kiosks, internet, ATMs etc.

3. The Department of Posts thus envisions to connect people, organizations and government using physical and electronic networks with the following objectives:-

(i) Modernization of postal services.

(ii) Improving the reach of postal services.

(iii) Improving the quality of services and develop, implement and operate a system of standards with accountable performance.

4. We are in the process of developing a Strategic Plan for the Department which will set the roadmap for achieving the above objectives. As important stakeholders in this journey, India Post, requests its customers to share their views on how India Post can achieve its objectives. Feedback on the following is requested by 04/02/2001 at [email protected].

(i) What kind of post office would meet your expectation – the infrastructure in the post office, facilities and services?

(ii) How to make postal service customer friendly?

(iii) How can the existing products and services be made more attractive?

(iv) What new services and facilities can India Post provide to meet the new and emerging needs of customers?

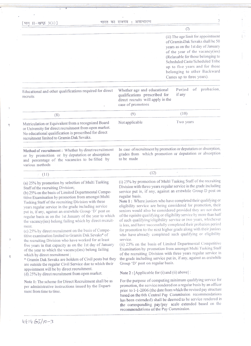
ACTION TO BE TAKEN TO FILL UP THE VACANCIES ON THE BASIS OF LATEST RECRUITMENT RULES FOR THE POST OF POSTMAN AND MAIL GUARD.

D.G. Posts No. 44-2/2011-SPB-I dated 27th January,2011.

I am directed to forward herewith a copy of Recruitment Rules for the post of Postman and Mail Guard dated 16th December, 2010 gazette notified on 20thDecember, 2010.It may be observed that the notified Recruitment Rules provide to fill up the vacancies as under(For full text please refer to the recruitment Rules)

Postman:

i.(a) 25% by promotion by Selection-cum-seniority of Multi Tasking Staff.,

(b) 25% on the basis of Limited Departmental Competitive Examination by promotion from amongst Multi Tasking Staff failing which by direct recruitment.

(c) 25% by direct recruitment on the basis of Competitive Examination limited to Gramin Dak Sevaks failing which by direct recruitment of Gramin Dak Sevaks (without any examination on the basis of their seniority subject to their meeting the prescribed requirements).

(d) 25% by direct recruitment from open market.

Mail Guard:

a) 25% by promotion by Selection-cum-seniority of Multi Tasking Staff of the recruiting Division.

b) 25% on the basis of Limited Departmental Competitive Examination by promotion from amongst Multi Tasking Staff of the recruiting Division ,failing which by direct recruitment

(c) 25% by direct recruitment on the basis of Competitive Examination limited to Gramin Dak Sevaks failing which by direct recruitment of Gramin Dak Sevaks (without any examination on the basis of their seniority subject to their meeting the prescribed requirements).

(d) 25% by direct recruitment from open market.with matriculation as mnimum educational qualification.

2. It is presumed that the Circles have already filled up the vacancies of Postman and Mail Guard up to the year 2010. The Circles may intimate the number of vacancies pertaining to the year 2010 in the said cadres filled up by them. The number of vacancies of the years 2005,2006,2007 and 2008 cleared under ADRP and all the vacancies of the years 2009 & 2010 if any, not yet filled up by any Circle may be communicated to the Directorate along with the reasons for the same and the date by which those vacancies would be filled up. The information in this regard may be furnished latest by 7th February, 2011.

3. In order to initiate action to fill up the vacancies of the years 2011 the Circles may work out the firm anticipated vacancies which would fall under various modes of filling up as provided in the Recruitment Rules. Wherever applicable the vacancies may be assessed Division/Unit wise. The direct recruitment vacancies not cleared under Annual Direct Recruitment Plans of the years 2005, 2006, 2007 and 2008 should be taken into consideration while assessing the vacancies.

4. The consolidated number of vacancies so assessed by them for whole Circle may be furnished to the Directorate by 1st March ,2011 positively in the enclosed proforma.

5. Once the Circles complete the process of identification of vacancies to be filled up by various modes they may proceed further to fill up the following vacancies.

(a) Postman:

25% by promotion by selection-cum-seniority of Multi Tasking Staff..

(b) Mail Guard:

25% by promotion by selection-cum-seniority of Multi Tasking Staff..

6. The Circles are requested to process the above said appointment in such time-frame so that the appointment orders are issued by 29th March, 2011.

7. As regard the vacancies to be filled up by Departmental examination and direct recruitment the Directorate is in the process of finalizing the syllabus and scheme for examination. The same will be conveyed to the Circles shortly to enable them to fill up those posts also.

7. Receipt of this letter may be acknowledged.

Action to be taken to fill up the vacancies on the basis of latest Recruitment Rules for the post of Multi Tasking Staff.

D.G. Posts No.45-2/2011-SPB-I dated 27th January,2011.

I am directed to forward herewith a copy of Recruitment Rules for the post of Multi Tasking Staff dated 16th December, 2010 gazette notified on 20th December, 2010.It may be observed that the notified Recruitment Rules provide to fill up the vacancies as under(For full text please refer to the recruitment Rules)

Vacancies in Circle and Administrative Offices:

i.(a) 25% by appointment of Casual Labourers confirmed with temporary status on the basis of Selection-cum-seniority failing which by,

(b) Appointment of existing Casual Labourers engaged on or before1.9.1993 working,for full hours viz.8 hours, on the basis of selection-cum-seniority failing which by,

(c) Appointment of existing part-time Casual Labourers, engaged on or before 1.9.1993,on the basis of selection-cum-seniority failing which by,

(d) Direct recruitment as per the scheme circulated by the Department of Posts from time to time.

ii. 75% by direct recruitment as per the scheme circulated by the Department of Posts from time to time.

Vacancies in Subordinate Offices:

i) 50% by direct recruitment from amongst Gramin Dak Sevaks of the recruiting Division or Unit, on the basis of Selection-cum-seniority.

ii) (a) 25% by direct recruitment on the basis of Competitive Examination restricted to the Gramin Dak Sevaks of the Division or Unit falling which by,

(b) Appointment of Casual Labourers engaged on or before 01.09.1993, working for full hours viz. 8 hours a day, on the basis of selection-cum-seniority failing which by,

(c) Appointment of Casual Labourers conferred with temporary status in the neighbouring Division or unit on the basis of selection-cum-seniority failing which by,

(d) Appointment of Casual Labourers engaged on or before1.9.1993,working for full hours viz 8 hours,of the neighbouring Division or unit on the basis of selection-cum-seniority failing which by,

(e) Appointment of Part-time Casual Labourers engaged on or before 1.9.1993, of the recruiting Division or unit on he basis of selection-cum-seniority failing which by,

(f) Direct recruitment from amongst Gramin Dak Sevaks on the basis of their seniority in the Division or unit.

Failing (i), (ii) and (iii) above by direct recruitment from open market.

2. In order to initiate action to fill up the vacancies of the years 2009 and 2010 the Circles may work out the vacancies falling under various modes of filling up as provided in the Recruitment Rules. Wherever applicable the vacancies may be assessed Division/Unit wise. The direct recruitment vacancies of the erstwhile Group 'D' not cleared under Annual Direct Recruitment Plans of the years 2005,2006, 2007 and 2008 should be taken into consideration while assessing the vacancies.

3. The vacancies so assessed my please be furnished to the Directorate by 10thFebruary, 2011 positively in the enclosed proforma.

4. Once the Circles complete the process of identification of vacancies to be filled up by various modes they may proceed further to fill up the following vacancies.

(a) Vacancies in Circles and Administrative Offices:

25% of vacancies to be filled up by appointment of Casual Labourers.

(b) Vacancies in Subordinate Offices:

i) 50% of vacancies to be filled up by direct recruitment from amongst Gramin Dak Sevaks of the recruiting Division or Unit, on he basis of Selection-cum-seniority.

ii) 25% of vacancies to be filled up by appointment of Casual Labourers.

5. The Circles are requested to process the above said appointment in such time-frame so that the appointment orders are issued by 29th March,2011.

6. As regard the vacancies to be filled up by Departmental examination and direct recruitment the Directorate is in the process of finalizing the syllabus and scheme for examination. The same will be conveyed to the Circles shortly to enable them to fill up those posts also.

7. Receipt of this letter may be acknowledged.

Thursday, January 27, 2011

Much awaited fill up vacancies on the basis of latest recruitment Rules of Postman/Mail Guard & M.T.S released today.


No.44-2/2011-SPB-1 Dated 27th january 2011

LATEST Recruitment Rules for Postmen and Mail Guard

















No.45-2/2011 -SPB-1 Dated 27th january 2011

Latest Recruitment Rules for Multi Tasking Staff















Monday, January 24, 2011

INTERACTION WITH SENIOR OFFICERS IN POSTAL STAFF COLLEGE

The Postal Staff College of India, Ghaziabad has organized an interaction programme with the 16 Senior Administrative Grade Officers likely to be promoted to HAG (Chief PMG) on 19.01.2011 from 1430 hours on the topic of “Staff issues in Transformation of India Post”. Com. K. V. Sridharan, General Secretary and Com. D. Theyagarajan, Secretary General FNPO were invited to have interaction on the topic for free and frank discussion to arrive at some agreed solution to the issues concerned.

This is the first time that two union representatives were invited as faculty members to the Postal Staff college and allotted 30 minutes each for oration on the topic. Com. K. V. Sridharan, General Secretary has taken 40 minutes on the following issues which were well received by the senior officers of the department. The gist of his presentation on the problems existing in Project Arrow offices and other modernization programme is furnished below for the notice of our members.

At the outset, he made it clear that the proposed changes are inevitable when the Govt decides to amend the Post office Act and makes the Post office also as one of the players in the communication market and the trade unions are not against any advancement or modernization of postal services but against any such move of privatization, corporatization etc. But many schemes are being introduced even without consultations with circle heads and they are forced to implement such decisions ignoring the realities prevailing at base levels and the feasibilities resulting failures of the schemes. Formation of Hubs for speed post articles resulted heavy delay and public criticism in delivery of speed post.

The following issues are not attended or not cared resulting failure in the object of the project arrow and this require immediate correction.

(1) Project Arrow is fine but not succeeded due to operational inefficiency in the absence of adequate staff.

(2) Staffs are compelled to furnish fictitious statistics that become a demoralizing factor.

(3) Project Arrow inspection team guided the offices to enter only the paid MOs relating to Family pension, Old Age pension etc. as MOs received for delivery just to show 100% delivery.

(4) In adequate supply of Computer peripherals, accessories and no power to the Postmaster to incur any expenditure for urgent natures. Inadequacy of printers and almost condemned servers with slow pace available in many Project Arrow offices.

(5) Inadequate personnel deployed for trouble shooting like Systems Administrators to attend the faults.

(6) Even antivirus soft wares are not provided in many circles like Orissa to the computers. There are no proper AMCs. For Generators also there is no AMC and many of them are out of order.

(7) Unscientific fixation of last receipt time. The last receipt should be before 1500 hours. No article should be kept under deposit or shown as delivered or redirected to other town SOs to ensure 100% delivery.

(8) Bar codes to Speed Post articles are sub standard. Duplication of scanning of Speed Post articles must be avoided. The power of RAM should be increased, Spare & Additional accessories must be provided to all offices.

(9) The present measurement of KPI uniform to all offices right from HSG-I to single handed offices is incorrect. This will demotivate the bigger offices where there are chances of return of articles.

(10) The provision of alternative mail route as provided in the blue book and vested with the divisional superintendents for effective conveyance of mails is not at all adhered anywhere. Only the DMSL is adhered. The provision of Citizen Charters D + 2 is not maintained.

(11) Citizen Charter’s meetings should be conducted as post office levels by divisional heads. So that the public can ventilate their pleasure and displeasure in the presence of concerned Postmasters.

(12) There are contrary in citizen’s Charter and norms fixed by the Department. For example for registration of Savings Certificate, it is 10 mts per registration as per the norms. Where as it is 7 minutes per certificate as per citizen charters. There should not be difference in norms.

(13) Now settlement of SB claims in finally vested with Postmasters. The time limit as per citizen charter & KPI disturbed the practicability in disposal of claims.

(14) PPF & Savings certificates involve more time. They should not be brought under multipurpose Savings Bank Counters. Separate counters must be there. No other work other than Savings Bank should be added in the Multi purpose Savings Bank Counters.

(15) Postmasters posted in the project arrow offices must be given with systems training so that they can trouble shoot the minor cases if it warrants avoiding dislocation.

(16) There is no security or no queue facilities in Project Arrow phase I & II offices. It resulted in unwarranted arguments to decide who the first customer is. There is no safety.

(17) The enhancement of counter working hours without realizing the difficulties to 7 hours in many places forced the PO to keep open the office beyond working hours. The physical strain of sitting continuously for 7 hours before counter in computer has not been taken note of. This inhuman decision frustrated the employees much.

(18) Entrusting the undelivered articles to PRI (P), directing the Postman to deliver even registered letter to neighbour or any one, compelling the postmen to obtain mobile number of addresses, collecting authorization letters etc, issuing chare sheets without studying the realities are resulted in setback. Mere policing will not yield desired results. Better counseling is the requirement of the day.

(19) Frequent statements, compelling the Postmaster to check e-mails 3 to 4 times, furnishing report once in a hour – All these adversely affected his supervisory’ duties and the time is being wasted only in collecting such information and forwarding them.

(20) Non updating the soft wares. The patches for Foreign Post revised rates not dispatched till today. In Delhi, no MPCM is having the facility of booking of VP articles under concessional rates for printed books.

(21) The e-mo software is now over leaded. Many paid e-mos are now shown as unpaid. The System Administrators are compelled to clear the mistakes. Before introducing the software, the capacity must be assessed properly.

(22) If LAN/WAN/Broad Band does not function, the PMs are compelled to go other offices to send reports, Accounts & MIS etc.

(23) No doubt, it is feel good outside. But inside, still old furniture etc to delivery staff and other staff. When the project is taken, it should be for all.

(24) Unnecessary calling of explanations from the Postmaster and take notice of their lapses for non extraction of Speed Post net data on account of operation errors.

(25) Practically there is no counting of unaccountable articles. Average and incorrect figures are furnished. This should be deleted from DET.

(26) Series of letters & e-mail received on SB transfer, claims & closures. Scores will be deducted in KPI. This demotivates the staff.

(27) Many local instructions are issued daily confusing the operative staff. Sequential day ending process has been changed twice in many circles.

(28) EMO software again proved as half baked with various bugs which required huge rectification. Soft wares are not able to deal such huge data. 2.5 lakhs e-mos were shown as unpaid which were booked 1 year before.

(29) Handling of plenty of soft wares and multi log in by single user causing tiresome and often failures resulting chain of distress to the PAs and supervisors.

(30) Virtually there is no help from the regional office except questioning; Remote assistance is the best way for trouble shooting.

The problems as well as improvements required in Project Arrow offices were elaborated in details during his oration. He further insisted the advance level training, involving the circle unions in decision makings by the circle heads, the loop holes in marketing like UTI, ICICI prudential, Sale of Gold coins for RML etc. unrealistic targets fixation etc were focused. Our stiff opposition on the tie up with Fedex and provide counter in PO is explained.

In fact under the given time and also the follow up interaction with our General Secretary & Secretary General FNPO by the senior offices for about an hour were properly utilized to ventilate the realities at ground level and the need for review of entire things.

After the meeting, many senior offices have appreciated our views, on many issues and the need to correct them. We thank the Principal, Postal Staff College Sri Sarkar for providing this opportunity to us.

NFPE CIRCULAR

PF. No. 01(e)/02/2011 Dated: 21th January, 2011

To

All General Secretaries, CHQ Office Bearers

Circle Secretaries of all affiliated Unions

Dear Comrades,

Federal Secretariat Meeting of NFPE was held at New Flat of P-IV Union, No. 306, Vindhyachal Apartment Kaushambi, Ghaziabad on 20.01.2011.

The flat was inaugurated by Com. M. Krishnan , Secretary General and ceremony of Grah Pravesh was also organized by Com.I.S.Dabas , General Secretary P-IV union with traditional customs .On this occasion Comrades K.V. Sridharan, G/S P-3, Giri Raj Singh, G/S R-3 , P.Suresh G/S R-4 , R.N. Parashar, ASG NFPE ,Virendra Tiwari Dy. G/S, SBCO Association, Balwinder Singh, Treasurer P-3 , Mahabir Singh Treasurer P-4 , Raj Kumar , Treasurer ,NFPE , K K Sharma , V/P NFPE and Circle President R-4 Delhi Circle, Harender Singh ,Circle Secretary , R-4 , Delhi Circle , Jagdish Prasad, Treasurer R-3(CHQ) and many other Comrades of NFPE Unions of Delhi Circle were present.

The Flat was named as "Com. K. Adinarayana Bhawan" in memory of our great lamented leader Com. Adi. Similarly R-3 Union has also agreed to name their Flat at Shivalik Appartment, Kaushambi, Ghaziabad also as "Com.N.J. Iyer Bhawan" .

Federal Secretariat meeting was presided by Com.K.K. Sharma, Vice President, NFPE. All General Secretaries and Office Bearers present at Delhi participated in the meeting .The following decisions were taken:

1(a) All India Study Camp at Thekkedy (Kerala) on 13th, 14th 15th February, 2011.It was decided that All India Office Bearers and Circle Secretaries of affiliated unions shall participate in the camp.

Hon`ble M.P .Shri P. Rajiv , Parliamentary Standing Committee ,Member ,Ministry of Communications & IT will inaugurate the Camp. Member (P) Postal Services Board Shri P.K. Gopinath and CPMG Kerala Ms. Shoba Koshi have given their consent to grace the occasion by attending the Seminar on the subject " Future of India Post- Challenges & opportunities " .

Subject wise classes will be taken by the senior leaders as follows:

(1) History of Postal Trade Union Movement and present day task.

Com. M. Krishnan , Secretary General NFPE.

(2) Service matters: Com. K.V. Sridharan, G/S P-3.

(3) Central Government Employees Issues : Com. K.K.N. Kutty , Secretary General , Confederation .

(4) Working Class Issues: Com.C.C. Pillai, Ex. S/G NFPE.

(5) Policy Offensives in Department of Posts: Com.K. Ragavendran, Ex. S/G/NFPE.

(6) Disciplinary matters: Shri M.C. Nair , Retired SSPOs ,Kerala.

On 15th February sight seeing trip has been arranged by the Reception Committee.

1(b) 23rd February, 2011 Parliament March: It was decided that the neighbouring Circles and Divisions of NFPE should be mobilized to take part in large number and quota of participants was fixed as under:

" UP Circle -1000, Delhi Circle -1000, Haryana Circle -200,Punjab-100, Rajasthan-200, MP-200, Chhattisgarh -100, Bihar-100, Jharkhand -100 and remaining Circle 2000"

Stay arrangements will be made at RMS Rest House , Ambala Co-operative Society Hall at Delhi GPO Complex, Tarapada Bhawan Shalimarbagh, R-3 Flat 17/4C,Kalibari , P-4 CHQ 17/3 D Kalibari , D-2 Telegraphs Place Gole Market (R-3 CHQ) , NFPE CHQ North Avenue Post Office Building, P-3 CHQ , Patel Nagar (Dada Ghosh Bhawan), Administrative Union CHQ at Kalibari.

1(c) Cadre Restructuring Committee Meeting : will be held at Postal Directorate on 22.01.2011. Large scale closure of Post Offices and RMS Offices will not be accepted in lieu of matching saving.

1(d) All India Women Convention at Kolkata : More than 40 Women delegates from NFPE will attend the convention (other than West Bengal) at Kolkata on 07th & 08th February, 2011 as per quota allotted by Confederation.

1(e) Casual Labourers Issues: The Federal Secretariat viewed with grave concern the inordinate delay in revising the wages of casual labourers w.e.f.1.1.2006 and also the indiscriminate outsouring of their work . It is deiced to organize the following programme of action to achieve the long pending demands of Casual Labourers.

10.02.2011 Call attention day: Demonstration in front of all offices.

03.03.2011 Dharna : in front of all CPMG's Offices

All Circle Secretaries of NFPE Union are requested to help the Casual labourers for successful implementation of above programme.

Dharna should be organized under the Banner of NFPE and Casual Labourers Union if any formed in the Circle.

1(f) Formation of Circle Level Coordination Committee and holding of Circle Level Convention: As per decision of Federal Executive First Convention of UP Circle is being held at Lucknow on 16th &17th March , 2011 in which Circle Coordination Committee will be formed .Circle Secretaries of all NFPE Unions are requested to intimate possible date of Circle Level Convention in their respective Circles . Circle Conventions are to be completed before 30th April 2011.

Central Working Committee Meeting of R-III Union: CWC of R-III Union is going to be held at Hajipur (Vaishali, Bihar) on 13th and 14th March 2011. Secretary General NFPE will attend the meeting.

Central Working Committee Meeting of P-IV Union: CWC of P-IV Union is going to be held at Rourkela (Orissa) on 27th and 28th March, 2011. Secretary General will attend the meeting.

Revised Recruitment Rules for M.T.S (Group D) is expected to be released with in two days. Orders will be exhibited in the website.

Revised Recruitment Rules for Postmen will also be released shortly. Instructions will be issued to all circle heads to fill up all the vacancies of Postmen/Group 'D' up to 31.12.2010 within a time frame.

Meeting with Member (P):

Com. M. Krishnan, Secretary General NFPE, K. V. Sridharan, General Secretary and Com. Ishwar Singh Dabas General Secretary, P4 met Sri. P. K. Gopinath, Member (P), Postal Services Board on 21.01.2011 and discussed the following issues:


(a) Extension of time limit for submitting option for Postmasters cadre. We have requested that instructions may be issued to all Chief PMGs to fill up all norm based LSG, HSG II and HSG –I posts on regular basis holding DPCs and option may be finalized only after giving opportunity to all those promoted to LSG, HSG II & HSG –I

(b) MACP clarification as per West Bengal Chief PMG's letter.

(c) Charge sheets, Break-in-service (FR 17-A) orders issued by Mumbai West Division, Satara Division and Pune RMS Division in connection with 2010 September 7th Strike.

(d) Revision of wages of casual labourers and Part-time contingent employees and indiscriminate outsourcing of their work.

(e) Removing the hurdles in commencing Local training classes for newly recruited PA/SAs with particular reference to Tamilnadu Circle.

Member (P) informed that police verification is a must before sending candidates for PA/SA training. No deviation from the Government instructions can be made by the Postal Board in this regard.

(f) Discontinuing double delivery system in metros especially in Tamilnadu.

Member (P) assured necessary intervention on all the above items.

Postmen Committee : met on 21.01.2011 at Dak Bhawan under the Chairmanship of DDG (MB). Com. M. Krishanan, Secretary General NFPE, Com. Iswar Singh Dabas, General Secretary P-4, Com. K. V. Sridharan, General Secretary, P3 represented NFPE in the meeting. Issues relating to Data entry work, Fixing of norms for all items of work ,Incentive for Speed Post articles, fixing minimum and maximum distance to be traversed by Postmen, filling up of all vacant posts of Postmen upto 2010 (inclusive of residual vacancies) were discussed in detail. DDG agreed that the Department will examine all the points raised by the Staff side and will come up with a final proposal in the next meeting. Next sitting will be held in March 2011.

Cadre Review : A meeting related to cadre restructuring held on 22.01.2011 at 11.00 hours. Com. M. Krishnan, Secretary General, NFPE alongwith Com. K. V. Sridharan G/S P-III, Com. Giriraj Singh G/S R-III , Com.I.S. Dabas, G/S P-IV, Com.P. Suresh G/S R-IV represented NFPE in the meeting. The meeting was inconclusive . Next sitting will be held shortly.

With greetings,

(M. Krishnan)

Secretary General

NFPE